免費論壇 繁體 | 簡體
Sclub交友聊天~加入聊天室當版主
分享
返回列表 回復 發帖

一些补充剂的咨询

版主您好,我是大陆的一个研究生,最近被诊断为高眼压症。我只在上午和下午测过眼压,Goldmann眼压显示右眼22-24mHg,左眼23-25mmHg。角膜中央厚度右眼为568mmHg,左眼为572mmHg。OCT图见附件(因为高度近视眼600,700度,视神经偏薄).后来我去拍了立体式神经照相,杯盘比为0.2+,医生排除了青光眼,认为我只是高眼压,视神经薄是因为高度近视眼的原因。另外一个医生保险起见,还是给我开了2%的美开朗滴眼液,一天滴两次

但我这个人比较容易焦虑,因此最近做了一些关于视神经保护的辅助疗法的调研。包括溴莫尼定滴眼液,银杏提取剂,胞二磷胆碱,花青素,鱼油(DHA,EPA),Palmitoylethanolamide(PEA、棕榈酰乙醇酰胺、十六酰胺乙醇)。我发现您特别推荐别人使用银杏提取剂和黑醋栗(花青素),但是胞磷胆碱却只轻轻提了一下,PEA根本就没有提。据我的文献调研,胞磷胆碱控制视野进展的效果比银杏还好,有多个文献显示,对于眼压已经达到通常目标眼压的人群,但是MD恶化率仍然超过1dB/y使用500mg胞磷胆碱可以将视野恶化控制到0.15dB/y。有些短期大剂量甚至能使得视野好转约10个dB左右。而PEA,一种内源性大麻素,针对那些滴眼药水降眼压效果不好的人群,可以额外降低眼压约3mmHg左右。PEA的研究可以追溯到上世纪90年代意大利诺贝尔奖得主 Rita Levi-Montalcini的工作。在 1993-1996 年期间,她的小组确定了内源性脂肪酰胺棕榈酰乙醇酰胺的抗炎和镇痛特性的作用机制。PEA作为过度活跃的肥大细胞的天然调节剂,可以抵消 NGF 的促炎作用。在2011年,开始出现了许多关于降眼压的工作,大概是因为微化和超微化颗粒的PEA在那时候刚刚生产出来,从而可以突破血脑屏障,产生降眼压的效果,并且还有视神经保护的双重作用。此前非微化的PEA只是作为镇痛剂使用(例如用来关节炎的止疼,不需要突破血脑屏障)。


想到您对视神经保护的那篇博客大写于2016年,现在5年过去了,不知道您对这两者补充剂是否有一些了解。我看到您特别具有探索精神,因此特向和您讨教一下。

目前我吃的补充剂有银杏提取剂,胞磷胆碱,PEA(非微化,我后来才注意到那些实验中用来降眼压的PEA是微化以及超微化颗粒的),蓝莓。此外我的左眼患有干眼症,这可能是导致我左眼OCT结果相比右眼不正常的原因,因为我有看过文献,干眼症患者拍OCT就像透过毛玻璃拍照一样,会导致视神经厚度相比真实结果低一些,如果测试前用一滴玻璃酸钠,则会极大的消除误差。我了解到鱼油可以治疗干眼症,而且有9%-21%的降眼压的效果,这可能解释了为什么日本大部分人青光眼患者都是NTG患者(约92%),因为日本人酷爱吃鱼,尤其是秋刀鱼这种含鱼油量极高的鱼。日本人每天鱼油摄入量大概是1.2g,这和文献提及的用来降眼压的鱼油摄入量差不多。
        但是我了解到鱼油有抗凝血的作用,这可能和银杏抗凝血的作用重合。但鱼油(EPA和DHA)中的DHA可能不会抗凝血,而且降眼压效果比EPA更好,我也没有条件比较,因为我没有家用的眼压计。不知道我也可以在银杏基础上吃DHA胶囊或者秋刀鱼治疗干眼症。

我特别害怕自己得青光眼,因此希望在高眼压症的时候就扼杀发展青光眼的苗头,在做文献调研的时候,发现您特别乐观,而且喜欢探索,因此想跟您共同探讨这些问题。我做了一些关于胞二磷胆碱和PEA的文献调研在附件中,发现文件太大,不能上传,遂上传到百度网盘:链接:https://pan.baidu.com/s/1kHY8DqT-c8PKeSVZOUu7qA
提取码:m2oz
复制这段内容后打开百度网盘手机App,操作更方便哦
补充一下,另外我做过这些补充剂的服用是否对肝脏,肾脏产生影响的文献调研。其中胞磷胆碱可以保护肝脏免受缺血/再灌注损伤保护线粒体功能和减少氧化应激,而且被用来治疗脂肪肝。此外胞磷胆碱可能对炎症有保护作用,尤其是慢性肾病患者。关于PEA,文献显示棕榈酰乙醇胺( PEA ) 是脂肪酸乙醇胺家族的一员,是一种新型的非甾体、肾脏友好的抗炎和抗纤维化剂。同样的,它可以抵消肝脏代谢僵化,以及纤维化。因此,这两种补充剂应该是对肝脏,肾脏友好的。关于胞二磷胆碱我查到的文献,在用于保护视神经方面,甚至有长达8年的跟踪,应该是没有问题的。但是若干PEA用来降低眼压的文献,实验时间只有2-6月,大概是因为超微化的PEA还处于专利保护期,并没有广泛临床。最近我看到报道,持有该专利的FSD Pharma已经被FDA批准将PEA用来新冠肺炎的辅助治疗上。
回復 1# Guest from 159.226.171.x 呃,角膜中央厚度单位写错了,应该是微米
雖然眼壓21以下算正常,但還是有個體差異,所以才會有人有高眼壓症,以下圖爲例,你大概也只有10%的機率是青光眼,如果只爲了這10%而終生點藥,個人認爲是不值得的,比較好的做法就是例如找一家醫院,定期每年檢查一次眼底,OCT、眼壓等,之後比對這些資料,如果有變化自己就可以提早因應。




雖然個人探索了許多科研,當中也有過是否能利用這些輔助品來降低眼壓,保護甚至反轉視神經的想法,但最終還是體認到,這些只是能達到輔助功能而已,主要還是要靠眼藥水,手術等,同時也發現科研文獻也不是100%能信任,當中也有可能牽涉到廠商的資金贊助、個人聲望提升、研究方法錯誤或是侷限性,而有意或無意的產生虛假的研究結果,所以當有人作出開創性的研究結果時,後來者必會再次研究來驗證,以證實這項結果的可靠性,而青光眼研究方面也存在一些開創性的研究,但文獻就1,2篇且都是同一位研究者做出來的,可能就要考慮一下它的實用性,例如藏紅花降眼壓、魚油降眼壓(必需每天服用大劑量到6g),B3恢復視野(Tru Niagen服用1年沒感覺)、胞二磷膽鹼(服用一陣子沒感覺)、PEA(服用幾個月沒感覺,另外fiteyes的版主和一羣有眼壓計的青友2015年時也買了PeaPure 來實驗,最終也是沒結果)等,個人試過以後都沒有效果,或是很難驗證,例如視野停止或恢復,但輔助保健功能還是有的,另外還有一個問題,如果一個東西能停止原本在進展的視野,但無法恢復已受損的視野,這對我們也沒用,因爲眼藥水已經能停止我們視野缺損進展了,所以我們吃了也沒用,如果它可以恢復視野,可能要數年,花費大量金錢購買,最後例如最多只能恢復5%,這對我們也是無意義及不划算的,但對科研而言確是有意義的。


所以最終我只着重在自己有感及能幫助視力的保健品方面,銀杏對各種疾病的研究一直有很多人做,文獻結果以數千來計,可以不用懷疑其真實性,所以我用它來增加自己視網膜血流,自己也有感覺,而花青素(黑枸杞、黑醋栗、藍莓等)也確實增加了我的視力對比度,且1小時內馬上作用,所以個人最推薦這2項,而降眼壓就交給眼藥水就好,沒有一個保健品能代替甚至輔助它的地位(定期有氧運動除外),而恢復視野就不用想了,未來數10年應該都不可能發生。


魚油可以改善乾眼,但也不是每個人都有效,抗凝血功能是有,但效果很輕微,個人和身邊的朋友同時服用銀杏和魚油,大部分的人都沒問題,只有少數幾個有問題,可能和體質有關。而降眼壓功能據我所知,目前還沒有看到身邊朋友及國外網友分享果有效。


謝謝你的資料,但沒看到有OCT報告,百度網址也打不開。
首先祝您端午节快乐!谢谢您在假期还能码这么多字。我现在把OCT和文献调研分割成小于1000kB的子文件上传。首先非常同意你说文献牵涉到厂商的资金赞助等原因有意无意产生的虚假结果。因为我自己也是在读的博士研究生,所以对期刊还是有一定的认识。首先我会查询改文献的引用量,那些发表时间已经好几年,但根本没几个人引用的文献的是值得质疑的。另一个很重要的指标是看该论文在SCI的分区,一般JCR Q1分区的论文因为同行审稿严格一些,认可度也高。例如眼科学的顶级期刊 OPHTHALMOLOGY (眼科领域临床研究顶级期刊),IOVS(眼科领域基础研究顶级期刊)等,在上面发表论文是一个眼科研究人员的骄傲,这是那些花钱就能发的期刊所不能比的。在看论文的时候,我也特别注意文献中的致谢Acknowledgement,利益冲突声明Declaration of Competing Interest。您说的那种受到厂商资助,往往会在这部分提及该论文研究受到该厂商资助,所以我更关注的是受到国家科学基金委资助的论文,这往往保留了更大的客观性。最后我还会关注研究成果的可重复性,我会特别注意该研究成果是不是有不同的研究小组在做,以防只有一个小组做该研究灌水、造假的现象。
        由于附件中我只提及了胞磷胆碱和PEA,这里我还想讨论一下鱼油,您说6g的鱼油剂量才有降眼压的效果。这可能对应于2007年IOVS的这篇论文[1],治疗组与控制组的小白鼠的饮食仅仅差别在Omega-3脂肪酸。且治疗组的饮食中每100g食物中有1.5gDHA,0.43gEPA。这与市场上常见鱼油高比例EPA而低比例DHA相反。里面提到给小白鼠的剂量是两组都是让小白鼠随便吃,最终治疗组的眼压相对下降了23%,房水流出增加了56%,眼部僵硬减少59%。
在2018年5月1日,Laura Elizabeth Downie[2]等人发表了Omega-3对眼内压的影响,作者称据他们所知,这是第一项报告 omega-3 脂肪酸降低人类眼压的研究。的确,此前搜到的文献都是在兔子、老鼠身上的实验。他们的这项研究让参加者随机接受口服ω-3补充物(Ñ = 72)由磷虾油(945毫克/天EPA + 510毫克/天的DHA),鱼油(1000mg /天EPA + 500mg /天的DHA或900 毫克/天 EPA + 600 毫克/天 DHA),或鱼加亚麻籽油(900 毫克/天 EPA + 600 毫克/天 DHA + 900 毫克/天 ALA);或口服安慰剂补充剂 ( n = 33, 1500 毫克/天橄榄油) 3 个月。这种比例和通常鱼油类似,高EPA(900-1000mg),低DHA(500-600mg) DHA。双盲实验最终降眼压效果达到了8%。
同样是2018年,另外一个研究组[3]发表了DHA对假剥性青光眼的影响,其中补充剂里DHA的含量为1050mg,EPA的含量为127.5mg,这里的DHA/EPA含量比2007年老鼠的那组实验的含量比更高。这个实验在6个月内将实验组右眼眼压的均值从14.7降到12.1;左眼从15.1降到12.2。降眼压相比上篇研究更好因为时间更长6个月(上一篇为3个月),但同时我也计算了该组实验3个月降眼压率也超过上篇论文。但你会发现实际上鱼油总摄入量是却不到1200mg,而不是上个研究的约1500mg;区别在于,这一组实验鱼油中的DHA含量奇高。联想到DHA是可以穿越血眼屏障,而EPA不行,因此我觉得可能是DHA才能起到降眼压的效果,我买了那种高DHA的鱼油,但才几天,还不知到效果如何。您说之前吃过6g的鱼油,我觉得倒不如注意一下里面DHA和EPA的比例。建议试一试高比例DHA,说不定会有效果。
另一个问题,您说您试过PEA,包括PeaPure。我后来了解到PeaPure只是纯度高,但不是微粒型/超微化型的,我看了那好几篇关于PEA降低眼压的论文以及临床实验,里面用到的PEA是微化甚至超微化的,由Epitech Group生产,在意大利亚马逊以Normast(超微化、ultra-micronized),早年是以Visimast(微化、micronized)购买。

不排除您说的这些论文是受厂商赞助的影响,但是的确有研究表明只有微化甚至超微化的PEA才能穿越血脑屏障(Blood-Brain-barrier),从而产生降眼压的效果。那种普通的非微化的(颗粒大小甚至比超微化大100-1000倍)的PEA往往只能用来作为轻度止疼剂缓解例如关节炎这样的疾病。Stefania Petrosino[4]的这篇文章就研究了超微化和普通PEA,在相同剂量下,超微化的PEA在血浆的浓度约是普通PEA的5倍,而且维持时间更长。
Daniela Impellizzeri,等人发现[5],与非微粉化 PeaPure 相比,口服给药的微粉化 PEA-m 和超微粉化 PEA-um 具有更优异的抗炎作用。
如下图,PeaPure的粒径大小是PEA-um(超微化)完全不在一个数量级,所以可能这是PeaPure达不到降眼压效果的原因(不能穿过血脑屏障)。 OCT.jpg





参考文献

[1].        Nguyen, C. T., Bui, B. V., Sinclair, A. J., & Vingrys, A. J. (2007). Dietary omega 3 fatty acids decrease intraocular pressure with age by increasing aqueous outflow. Investigative ophthalmology & visual science, 48(2), 756-762.
[2].        Downie, L. E., & Vingrys, A. J. (2018). Oral omega-3 supplementation lowers intraocular pressure in normotensive adults. Translational vision science & technology, 7(3), 1-1.
[3].        Romeo Villadóniga, S., Rodríguez García, E., Sagastagoia Epelde, O., Álvarez Díaz, M. D., & Domingo Pedrol, J. C. (2018). Effects of oral supplementation with docosahexaenoic acid (DHA) plus antioxidants in pseudoexfoliative glaucoma: a 6-month open-label randomized trial. Journal of ophthalmology, 2018.
[4].        Petrosino, S., Cordaro, M., Verde, R., Schiano Moriello, A., Marcolongo, G., Schievano, C., ... & Di Marzo, V. (2018). Oral ultramicronized palmitoylethanolamide: plasma and tissue levels and spinal anti-hyperalgesic effect. Frontiers in pharmacology, 9, 249.
[5].        Impellizzeri, D., Bruschetta, G., Cordaro, M., Crupi, R., Siracusa, R., Esposito, E., & Cuzzocrea, S. (2014). Micronized/ultramicronized palmitoylethanolamide displays superior oral efficacy compared to nonmicronized palmitoylethanolamide in a rat model of inflammatory pain. Journal of neuroinflammation, 11(1), 1-9.
回復 5# Guest from 159.226.171.x


    particle.png
回復 4# glaucoma2014
忽然发现恢复不能添加pdf,只好发图片,于是重新复制粘贴了一遍。至于文献引用编号从13开始是因为,原来pdf中前12篇文献是关于溴莫尼定和银杏的调研
胞磷胆碱(Citicoline)
        Citicoline(胞苷5'-二磷酸胆碱)是一种内源性化合物,是一种新兴的青光眼治疗剂。最近的临床研究已经研究了胞磷胆碱在其肌内(IM),口服和局部滴眼剂中对青光眼的神经保护作用。Giraldi[13]等,1989年首次描述了胞磷胆碱用于治疗POAG的神经营养特性,尽管IOP得到了很好的控制,但每天1g胞磷胆碱治疗10天的患者在视野测试中均表现出显着改善。这些治疗效果持续至少3个月,并通过重新治疗得以维持.下图为10天每天1g剂量胞磷胆碱肌肉注射后的暗点区平均表现
fig1.png
fig2.png
Rejdak等[14],是第一个评估口服胞磷胆碱对青光眼的神经保护作用的药物。用2次双周疗程的500 mg含胞磷胆碱的药片治疗的青光眼眼,VEP在幅度和隐性时间上均显着标准化。研究相似地报告了口服胞磷胆碱治疗的慢性POAG患者的VEP幅度和视网膜皮质时间的改善。
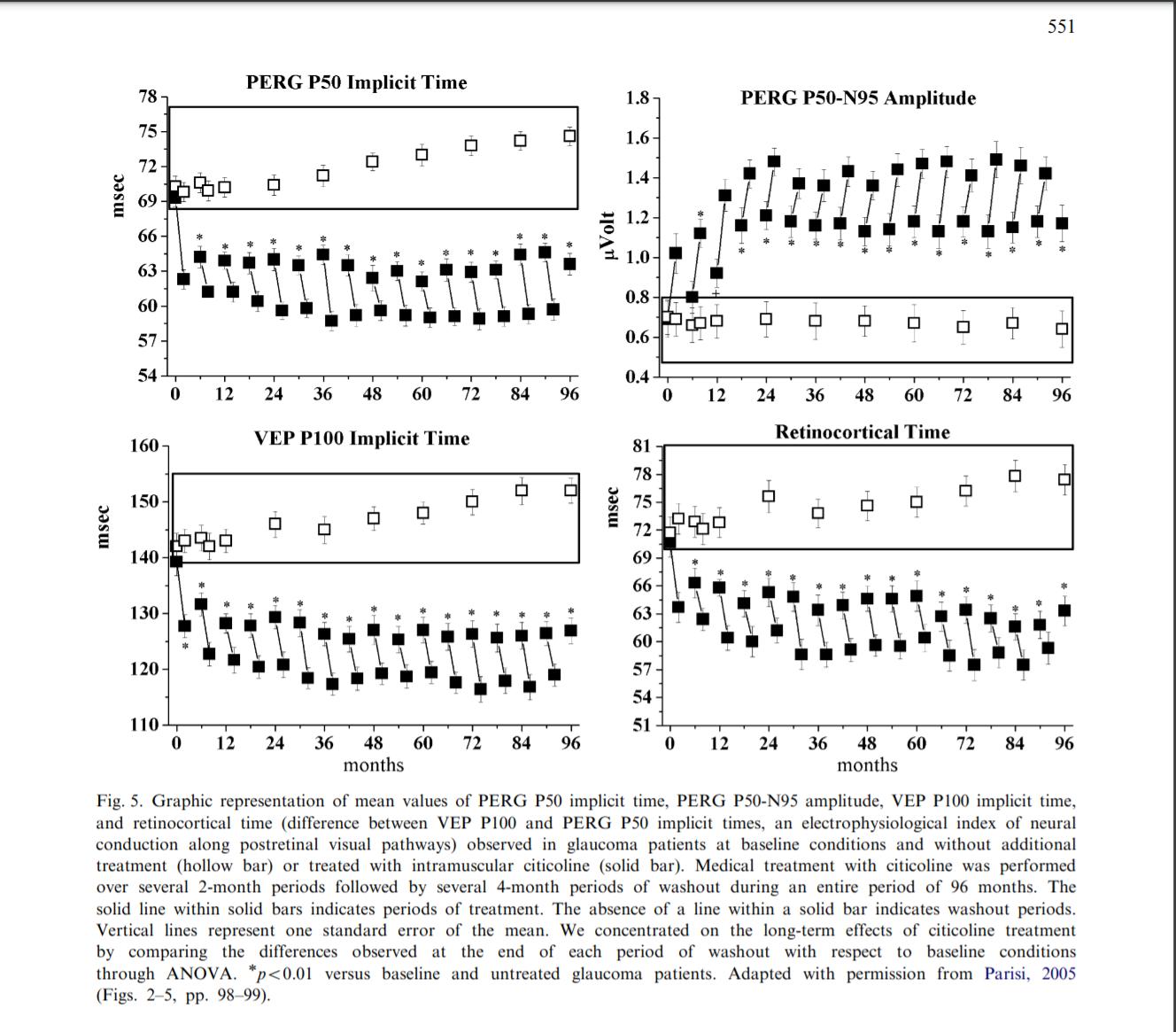
在一项长达两年的纵向研究中[15],每天口服500 mg胞磷胆碱治疗的患者(4个月的周期,再加上2个月的洗脱期)显示出青光眼的进展速度显着降低,平均为-0.15 +/- 0.3 dB /年。以下是实验人群的初始数据
fig3.png
他们的平均眼压是15.5mmHg,请注意这个眼压仍然与前面高级青光眼干预所说的眼压控制在12.3mmHg相差3.2mmHg,属于15-18的范围,还是很高!这群人每年的平均进展为-1.1(±0.7)dB,在研究结束时,从胞磷胆碱的第一个治疗周期开始,平均进展速度显着更改为-0.15(±0.3)dB /年(p = 0.01),这个数据表明甚至有人平均视野还提高了-0.15+0.3=0.15dB/y。
fig4.png
请注意,相比基线眼压,两年后的眼压还下降了1.1mmHg,但作者认为,视野恶化从-1.1dB/y下降到-0.15dB/y,是不可能仅仅只由这1.1mHg眼压下降导致的!因为加拿大青光眼研究的数据表明,在开角型青光眼患者中,如果达到了目标眼压,且中位进展率为–0.36 dB/年,则额外降低20%的眼压可将进展率降低至–0.11 dB/年。而这显然不可能由1.1mmHg眼压下降导致。
在随访中对中位眼压进行分层时,眼压高于15毫米汞柱的患者的进展速度(0.25dB/年)快于眼压低于15毫米汞柱的患者(0.05dB/年,p=0.04)。啊,0.05dB/y ! 那么对于60年的估计,也才只有-3dB, 这么长的时间跨度你压根就不会感受到这个变化!因为甚至正常人的视野MD也会以-0.06dB/y 进展!
关于胞磷胆碱对于RNFL的影响,M Lanza[16]等人也做了一个2年的研究,同样每天口服500 mg胞磷胆碱治疗的患者(4个月的周期,再加上2个月的洗脱期)。他们也是从每年视野恶化很大(-1dB/y到-1.5dB/y)的人群中做的该项研究。与上一个人的研究相比,胞磷胆碱的作用要在服用一年以后才体现出来,图中可以看出治疗组A在第二年的视野恶化才到-0.2dB/y, 仍然注意他们的平均眼压为14mmHg左右!(我们一再强调低眼压是所有辅助疗法的前提),此外RNFL的影响也被研究了,可以看到在1年以后,视神经纤维层的厚度几乎不再变化!而对照组就很惨了。
fig5.png
fig6.png
fig7.png
fig8.png
再看看对胞磷胆碱青光眼患者中的神经保护作用的证据一个长达8年的研究[17]。他们的剂量比较大1000mg的肌肉注射或者1600mg的口服胞磷胆碱,2个月治疗后是4个月的洗脱期,下面是电生理数据以及两个接受治疗的患者的视野图变化。第一个患者视野短期提高了之后,但是洗脱以后又恶化了,不过还是比基线好,从(-6.96->-6.09dB),第二个虽然也有相同的经历,但是他的综合疗效更好!(-12.59dB->-4.16dB)。总的来说,胞磷胆碱治疗延长至8年可导致青光眼视觉功能障碍的稳定或改善。
fig9.png
fig10.png
关于胞磷胆碱的研究仅仅在我一开始提到的Eye Wiki就提到了15篇高引用的文献,有兴趣的从一开始的链接打开去看看。另外它在意大利和美国是当做保健品来卖的(因为副作用几乎没有),而在我国是处方药。

胞磷胆碱作为视神经保护剂的原因:这里有一篇发表于2017年很好的综述,这里我就简单的谷歌翻译后拷贝一下[18]
Citicoline在神经系统疾病中的用途-证据
许多实验研究已经证明,Citicoline可通过减少梗塞体积和脑水肿来改善中风模型的保护作用,从而改善神经功能缺损。在这些研究中,Citicoline被用作单一疗法或与其他药物联合使用。此外,在缺血性中风后不久,在临床卒中试验中据报道了Citicoline的有益作用。
在阿尔茨海默氏病中,Citicoline可能抑制β-淀粉样蛋白的沉积,β-淀粉样蛋白是一种参与该疾病病理生理的神经毒性蛋白。据信这是淀粉样肽的形成与膜磷脂崩解之间的相互作用。
Alvarez等。在一项对30名阿尔茨海默氏病患者进行的研究中显示,用Citicoline治疗12周后,认知能力增强,在轻度痴呆患者中更明显。这也是脑血流速度和脑生物电活动的增加。
Franco等人也证明了心理表现和脑电活动的改善。在早老的阿尔茨海默氏病患者中用西替考林治疗一个月后。
许多学者研究胞二磷胆碱在帕金森病中的作用,并得出结论认为,改善症状的基础是多巴胺能系统的刺激。
Agnoli等。对已经用L-多巴+多巴脱羧酶抑制剂治疗的帕金森病患者给予Citicoline,并表明Citicoline决定了运动迟缓和僵硬的重要改善。在长期治疗中,Citicoline可以减少副作用的发生并减缓左旋多巴的疗效丧失。
Citicoline在弱视和非动脉缺血性视神经病变中的应用
在弱视中,Citicoline可能会通过刺激多巴胺能系统来改善视网膜和视网膜后的视觉通路。已经证明,它可以增强对比敏感度,视敏度,视觉诱发反应和兼职遮挡的效果。
Campos等。除贴剂外,还接受口服喹硫啉治疗弱视儿童(屈光参差或斜视性弱视)。在治疗30天后,得出的结论是西替考林并不比单独贴剂更有效,但能够稳定治疗期间获得的效果。他们坚持90天后同一视力相比,那些谁只打补丁和谁发现视力[的下降 ]。
Porciatti等人进行的另一项研究。还显示了Citicoline在弱视中的有益作用。他对10例弱视患者进行了肌肉内Citicoline的治疗,持续15天。两只眼睛的视力提高了1.4-1.5,而对照组为0.4。对比敏感度和视觉诱发电位也得到改善。
在2008年,Parisi等人。证明了Citicoline治疗对非动脉缺血性视神经病变患者具有积极作用。他评估了口服Citicoline治疗60天之前和之后的视觉功能。与治疗前的值相比,视敏度,模式视网膜电图(PERG),视觉诱发电位(VEP)参数有所改善。与基线相比,结果在冲洗期后仍然存在。
西替考林在青光眼中的神经保护作用–当前证据
青光眼的生理病理与神经保护
青光眼是一组以视网膜神经节细胞(RGC)死亡为特征的视神经病,这会导致视神经的结构和功能异常。它是世界上导致失明的第二大原因,估计到2040年将有1.118亿人受到影响。最重要的因素是眼内压(IOP)升高,但是仅在某些情况下降压治疗不足以保持视力,尽管眼压得到了很好的控制,疾病仍在继续发展。目前,它被认为是一种慢性神经退行性疾病,它改变了从眼睛到皮层的整个视觉通路。这表明在不同的退行性脑疾病中使用的药理学方法也可用于青光眼。
2006年,古普塔(Gupta)首次证明青光眼患者的外侧膝状核和视皮层出现了退行性变化。眼睛可能是中枢神经系统的一部分,而青光眼可能是神经退行性疾病。青光眼和神经性进行性疾病也有常见的细胞死亡机制。
RGC的死亡是青光眼的主要病理生理事件,神经保护的目的是通过靶向神经元来预防,延迟或减少细胞死亡。
涉及的机制之一是神经营养蛋白的剥夺。急性或慢性IOP升高可导致神经营养蛋白从上丘到视神经头的轴突运输受阻。凋亡可能是神经营养因子被剥夺的结果,例如脑源性神经营养因子(BDNF),它们对于细胞存活和生长很重要。谷氨酸介导的毒性是已经研究的另一种机制。阻断谷氨酸级联反应可能代表了一种神经保护策略。
回復 4# glaucoma2014

4. Palmitoylethanolamide(PEA、棕榈酰乙醇酰胺、十六酰胺乙醇)
这些所有视野进展很小的接受辅助治疗的患者,无一例外眼压都在15mmHg以下。但是很多人很难用一两种眼药水达到该效果,于是我又神奇的发现这个可以降低眼压的视神经保护剂。
        方法: 在一项前瞻性,随机,双盲,交叉临床试验中[19],对42例接受0.5%噻吗洛尔治疗且眼压在19至24毫米汞柱之间的POAG或OH的患者接受口服PEA(每天两次,每次300 mg片剂) )或安慰剂(每天两次PEA载体片剂)治疗2个月(期间1),冲洗2个月后,接受其他治疗1个月(期间2)。考虑了IOP,最佳矫正视力和视野参数。
        结果:PEA治疗后(平均基线眼压为21.6±1.7 mm Hg),在1个月时眼压降低了3.2±1.3 mm Hg,而在2个月时,眼压降低了3.5±1.2 mm Hg(15.9%±5.1%)(ANOVA,P <0.001; Tukey-Kramer均,相对于基线,P <0.01);安慰剂治疗后(平均基线眼压,21.5±1.5 mm Hg),在1个月时眼压降低0.4±1.2 mm Hg,在2个月时眼压降低0.3±1.3 mm Hg。两组均未检测到有统计学意义的副作,视野,视力变化或不良事件。
下图为初始数据,可见即使使用了噻吗洛尔,他们的眼压仍然很高,为21.7mmHg
fig11.png
再给予PEA治疗后,一个月内治疗组的眼压就从21.6->18.4,并在两个月后到了18.1mmHg,见下图。
fig12.png
在另一项随机双盲安慰剂对照[20],交叉研究中,除眼压测量外,还对40例初次眼压性高血压患者进行了内皮依赖性血流介导的扩张测量(FMD)。患者接受PEA(600毫克/天)或匹配的安慰剂治疗三个月。在第一个治疗期之后是两个月的清除期。随后,患者又接受了PEA或安慰剂治疗三个月。结论是,与安慰剂相比,PEA治疗可改善外周血管内皮功能,在3个月内可降低眼压,并显着改善眼压患者的FMD值,其积极作用持续时间长于服用PEA的时间(如2个月后测量)数月的冲洗。没有记录到不良事件.
在T1时,接受PEA治疗的患者(A组)显示FMD值显着改善(8.46±1.09%vs. 6.08±0.62%,P <0.001,r = 0.96),并且IOP显着降低22.18±1.26vs。 23.03±0.88 mm Hg,P <0.001),而接受安慰剂的受试者(B组)具有稳定的FMD和IOP值(6.05±0.68%vs.6.04±0.58%,P > 0.05和22.95±0.90 vs.23.25)分别为±0.76毫米汞柱,P > 0.05,请参见图)
fig13.png
再看看对正常眼压青光眼的作用[21]:连续入组32例受NTG影响的患者,并按1:1的比例随机分配接受PEA治疗(A组)或不接受PEA治疗(B组)。A组患者每天两次服用超微粉300 mg PEA片剂,共6个月。在基线和六个月随访结束时评估最佳矫正视力(BCVA),IOP和视野测试。在基线时,两组之间在临床参数上没有显着差异。在六个月时,A组患者的眼压显着降低(从14.4±3.2 mm Hg降至11.1±4.3 mm Hg,p <0.01)。两组中BCVA均未见统计学上的显着变化。与基线值相比,接受PEA的患者的视野参数显着降低(-7.65±6.55 dB与-4.55±5.31 dB,p <0.001; 5.21±4.08 dB与3.81±3.02 dB,p <0.02;平均偏差[MD ]和模式标准偏差[PSD]),而在B组中未见明显变化。
注意这次的研究并没有洗脱期,而是连续6个月的服用,相比之前的有洗脱期的研究表明视野并没有改变,这次视野显著提高!
最后,在一项针对15位患者的小型对照试验中,与安慰剂相比,PEA降低了激光虹膜切除术引起的IOP升高,并且患者接受了PEA(600 mg /天)或安慰剂预处理2周[22]。。

方法: 15例患者接受了双侧激光虹膜切开术(Visulas YAG III Laser; Zeiss),以预防原发性闭角型青光眼。在研究开始时(t-1),用安慰剂或PEA预处理15天后(t0)以及虹膜切开术后15、30和120分钟(t1,t2,t3)测量IOP。预处理包括每天2片安慰剂或PEA,共15天。
结果: 在两种预处理中,t检验均未显示出IOP t-1和t0的术前平均值之间存在显着差异。方差分析/ Tukey检验表明,安慰剂预处理的患者术后IOP值显着增加(P≤0.05),而接受PEA预处理的患者则没有。趋势分析证实了安慰剂预处理的显着积极趋势。两次回归之间的平行度测试显示,斜率(P = 0.022)显着差异,而截距(P = 0.520)则无明显差异。
结论: PEA可以抵消虹膜切开术后眼压的升高。PEA有可能在虹膜切开术后控制了炎症过程。
fig14.png

关于以上所有降眼压的文献的介绍和接下来作为视神经保护剂的原理的综述可见于Keppel Hesselink, J. M.[23].
PEA作为视神经保护剂的原理:
来自PEA家族的脂质信使和内源性大麻素是在眼组织中合成的,已被确定为降低眼内压的化合物。然而,PEA本身不能再被归类为纯内源性大麻素。我们更喜欢将其定义为脂质信使或脂质自体脂质。PEA的假定的视黄醛保护特性是基于与神经保护和细胞保护特性相同的机制。 概述了支持PEA细胞保护特性的研究。

fig15.png
fig16.png
在炎症性疾病和包括青光眼在内的慢性疼痛状态的许多临床试验中,已经评估了PEA的安全性和有效性。由于PEA的作用机理和卓越的安全性,并且没有任何已记录的药物-药物相互作用,PEA已显示出高达每天1.8 gm的安全性和有效性。由于与视网膜胶质细胞活化相关的会聚致病途径,PEA对青光眼和糖尿病性视网膜病都有希望。
PEA是一种多效天然存在的内源性N-乙酰乙醇胺,在包括人类在内的许多活生物体中起着重要的生物学作用。它的有益作用是剂量依赖性的,并通过各种受体(例如PPAR- α,PPAR- γ,PPAR- δ,GPR 119和TRPV1)介导。已知PEA下调促炎基因,并具有广泛的抗炎,抗氧化剂和细胞保护活性。由于青光眼和糖尿病性视网膜病都有共同的致病途径,因此在这两种疾病的视网膜病变的治疗和预防中都应考虑使用PEA。
最后说说PEA与大麻素的关系
PEA代表棕榈酰乙醇酰胺,它是人体在压力增加,疼痛和发炎期间自然产生的一种修复机制。它是一种简单的脂肪酸化合物,属于扩展的内源性大麻素家族的一部分。
大麻素是与人体自身的内源性大麻素系统中存在的受体相互作用的化合物的集合。人体自然产生自己的大麻素,称为内源性大麻素(在体内称为“内源”),可以与这些受体直接或间接相互作用。大麻素受体遍布全身组织。主要受体是在脊髓的大脑和神经中发现的CB1,以及在消化和免疫系统中发现的CB2。
然而与作为毒品的植物大麻素所不同的是,它是内源性的,没有什么副作用,它被用来作为止痛药,现在PEA以及被提纯,并作为保健品销售。对PEA与大麻的区别可见文献[24]:

最后提一下大麻素,历史上大麻是可以起到降眼压20%-30%的效果的,但是由于它作为毒品服用后副作用太大,以及降压效果不能持续,很快就被降压眼药水替代了。但我最近看到就在这个月生物制药公司Skye Bioscience宣布了他们一种基于大麻素(THC)的降眼压药水THCVHS, THCVHS联合耐舒地尔(Rhopressa®)的平均最大眼内压(IOP)降低了32.4%,并且在9小时时平均IOP降低了26.5%,明显优于所测试的任何单一药物或组合. 。THCVHS是通过合理的药物设计和生化工程开发而成的,是一种专有的合成分子,能够将药物局部递送到眼中,并减少全身性副作用的可能性。在临床前研究中,与标准的青光眼治疗相比,THCVHS表现出了眼内压的优异降低,眼压是与不可逆性视力丧失有关的主要危险因素。马上就要上临床了。
回復 8# Guest from 159.226.171.x


    [13].        Giraldi, J. P., Virno, M., Covelli, G., Grechi, G., & De Gregorio, F. (1989). Therapeutic value of citicoline in the treatment of glaucoma (computerized and automated perimetric investigation). International ophthalmology, 13(1-2), 109-112.
[14].        Rejdak, R., Toczołowski, J., Kurkowski, J., Kamiński, M., Rejdak, K., Stelmasiak, Z., & Grieb, P. (2003). Oral citicoline treatment improves visual pathway function in glaucoma. Medical Science Monitor, 9(3), PI24-PI28.
[15].        Ottobelli, L., Manni, G. L., Centofanti, M., Iester, M., Allevena, F., & Rossetti, L. (2013). Citicoline oral solution in glaucoma: is there a role in slowing disease progression?. Ophthalmologica, 229(4), 219-226.
[16].        Lanza, M., Gironi Carnevale, U. A., Mele, L., Bifani Sconocchia, M., Bartollino, S., & Costagliola, C. (2019). Morphological and functional evaluation of oral citicoline therapy in chronic open-angle glaucoma patients: A pilot study with a 2-year follow-up. Frontiers in pharmacology, 10, 1117.
[17].        Parisi, Vincenzo, Giovanni Coppola, Marco Centofanti, Francesco Oddone, Anna Maria Angrisani, Lucia Ziccardi, Benedetto Ricci, Luciano Quaranta, and Gianluca Manni. "Evidence of the neuroprotective role of citicoline in glaucoma patients." Progress in brain research 173 (2008): 541-554.
[18].        Iulia, C., Ruxandra, T., Costin, L. B., & Liliana-Mary, V. (2017). Citicoline–a neuroprotector with proven effects on glaucomatous disease. Romanian journal of ophthalmology, 61(3),
[19].        Gagliano, C., Ortisi, E., Pulvirenti, L., Reibaldi, M., Scollo, D., Amato, R., ... & Longo, A. (2011). Ocular hypotensive effect of oral palmitoyl-ethanolamide: a clinical trial. Investigative ophthalmology & visual science, 52(9), 6096-6100.
[20].        Strobbe, E., Cellini, M., & Campos, E. C. (2013). Effectiveness of palmitoylethanolamide on endothelial dysfunction in ocular hypertensive patients: a randomized, placebo-controlled cross-over study. Investigative ophthalmology & visual science, 54(2), 968-973.
[21].        Costagliola, C., Romano, M. R., Dell'Omo, R., Russo, A., Mastropasqua, R., & Semeraro, F. (2014). Effect of palmitoylethanolamide on visual field damage progression in normal tension glaucoma patients: results of an open-label six-month follow-up. Journal of medicinal food, 17(9), 949-954.
[22].        Pescosolido, N., Librando, A., Puzzono, M., & Nebbioso, M. (2011). Palmitoylethanolamide effects on intraocular pressure after Nd: YAG laser iridotomy: an experimental clinical study. Journal of ocular pharmacology and therapeutics, 27(6), 629-
[23].        Keppel Hesselink, J. M., Costagliola, C., Fakhry, J., & Kopsky, D. J. (2015). Palmitoylethanolamide, a natural retinoprotectant: its putative relevance for the treatment of glaucoma and diabetic retinopathy. Journal of ophthalmology, 2015.
[24].        Coppola, M., & Mondola, R. (2013). Palmitoylethanolamide: from endogenous cannabimimetic substance to innovative medicine for the treatment of cannabis dependence. Medical hypotheses, 81(4), 619-622.
另外再请教版主一个问题,您推荐蓝莓还是黑枸杞作为花青素的补充来源,我身边只能买到普通种植蓝莓每天吃60g左右。由于作为学生还在住学生宿舍,没有冰箱,那种冷冻的野生蓝莓我没有条件存储。我这里买黑枸杞大概人民币30-40/斤,如果吃黑枸杞,那每天的剂量应该是多少?听说这个吃多了容易上火。
感謝你提供這麼豐富的資料文獻,並提供一些辨別文獻可信度的方法,我想不是在學術界的人,比較難做到辨別,這些對我以後篩選資料也很有幫助(原來常看到的IOVS地位這麼高啊)。

我以前是沒有試PeaPure(也不好買),我是在amazon買的,https://www.amazon.com/gp/product/B07NJ71CXP/ref=ppx_yo_dt_b_asin_title_o01_s00?ie=UTF8&psc=1
我相信PEA是有降低眼壓的效果,但如同其他保健品一樣,誤區很多,以致於我們無法重現文獻的結果,例如PEA購買管道很少,Amazon大部分產品都是停止銷售,或是很貴,只好選這個感覺來路不明但便宜的產品,大概吃3個月後感覺眼壓沒變化,自己也擔心成分,就停止了,之後我可能再看看有沒有管道可以買到Normast。

而魚油是我記錯了,主要是看到一份文獻(如附件),18位晚期的青光眼患者,在眼藥控制降眼壓的條件下,平均每日服用7公克的EPA+DHA,3個月後,平均視野MD值改善-3.04dB,我也想試試,就買了這個來喝https://www.vitacost.com/carlson-the-very-finest-fish-oil

後來產生眼瞼炎就停止實驗了,就覺得保健品量太大還是有副作用的,以還是小心一點好。

能有大麻素的降眼壓藥水令人振奮,因爲這藥理比較不像傳統的降眼壓藥水,希望能快點產品化

另外你的OCT看起來並沒有視神經損傷的跡象,應該可以放心,只是眼壓高的問題,藥定期追蹤就是了。

我自己試過補充花青素的方法,有黑枸杞、蔓越莓、藍莓、黑醋栗,其中最有感的就是前2者,但後3者最大的問題是酸,長期食用恐怕牙齒琺琅質都壞光(有人建議打成汁用吸管喝),而藍莓雖然不酸但效果似乎不好(比較推薦的是歐洲的bilberry,但亞洲很難買到新鮮或冷凍的),所以最後我選擇黑枸杞,我也是在淘寶買的,感覺便宜方便效果也不錯,食用方法如下

黑枸杞食用法:

1.簡單法:直接泡5-15公克在一杯白開水或茶或牛奶或任何冷飲(不超過60度)慢慢當茶水喝,喝完且不吃殘渣

2.複雜法:泡決明子喝,生的約100公克,熟的約15公克,放入鐵球,用水壺煮開後再放入泡20分鐘後拿起,放涼後放入冰箱變成決明子茶,比例你可以自己調整,要味道重一點,熟的就加多一點,然後要喝時,把黑枸杞5-15公克放入馬克杯,再倒入決明子茶,慢慢喝


因為黑枸杞會上火,所以少量泡5克開始,適應後再加量,會和決明子一起泡是因為決明子屬涼性,可以稍微中和黑枸杞的燥熱
,個人認為這些方法配合定期有氧運動,比那些網路流傳的文章效果好很多


(改善視野)Neuro-rescuing.pdf (1.61 MB)
回復  glaucoma2014
忽然发现恢复不能添加pdf,只好发图片,于是重新复制粘贴了一遍。至于文献引用编号从1 ...
Guest from 159.226.171.x 發表於 2021-6-12 16:18

這篇之前被擋垃圾訊息的程式屏蔽了,要人工審覈。
看起來效果不錯,我之前也服用果一陣子,但發現無法驗證,因爲我的視野在眼壓控制良好情況下,並沒有惡化進展,而研究中也沒有提到視野會變好,再加上保健品屬於食品,其中的成分純不純我們也很難判斷,感覺性價比不高,所以就停止服用了。
感谢版主的回复,我根据年龄,眼压,角膜中央厚度,杯盘比,视野模式偏差的数据在圣路易斯华盛顿大学医学院的高眼压治疗研究计算器(https://ohts.wustl.edu/risk/)测算过,如果我现在不滴眼药水降眼压的话,那么5年内转变为青光眼的概率为5%左右,这个数据看似不大,但是如果放到30年的跨度再计算概率就是个不小的数字了!您说的那个10%应该也是5年内的概率,而不是终身转化为青光眼的概率。基于这些原因,我想想还是应该选择早点滴眼药水。只是医生给开的美开朗(Carteolol)滴眼液,这几天感觉心率有点降低,心脏有点不舒服。很奇怪,现在前列素滴眼液才是首选药物,不知道为什么医生给我开这种药物(大概是因为便宜?)。我想,我应该让医生给我替换为他氟(Tafluprost)滴眼液,前列素应该是目前眼压降幅最大的滴眼液,据查前列素滴眼液的一个副作用是黄斑水肿?不知道版主现在手术后是否还用类似的滴眼液?您推荐副作用最小的滴眼液是什么?

您的链接提供的那个PEA的确是ultra-micronized,那应该在一个月以后有降眼压的效果,几篇论文都是3mmHg左右的降眼压效果,您说没有降眼压这让我感到很奇怪。关于PEA的论文能搜到500多篇,大多是用来治疗炎症(关节炎)等,也不可能都是造假的论文。所以我很疑惑。

您的鱼油含量的确摄入很多!您说没有恢复视野的效果,那么试验其间,降眼压的效果您有没有注意到?

我发现即使食用炒熟的决明子后,还是有拉肚子的副作用。加上我平时比较容易上火,要是不在黑枸杞里加决明子,那我觉得会火气更大。
雖然概率計算出來是5年或10年也沒關係,能少1年不點藥就是賺到,因爲點藥也有點藥的問題,如副作用、抗藥性等,不點藥不代表以後都不用管,還是要每年檢查一次以防萬一。

beta類的美開朗是便宜沒錯,臺灣也是列爲第一線用藥,但美國就把前列腺類列爲第一線用藥了。

我雖然有手術過,但還是有用前列腺類的IZBA來使眼壓更低,通常前列腺類的副作用算是比較小,降壓幅度也大,1天點1次還算方便,但還是有個體差異,所以醫生還是要看用藥後的情況,必要時就會換藥,而說明書上的副作用列一堆,但實際上大部分都很少發生,也沒聽到週邊青友用後有黃斑部水腫的,可以放心使用。

PEA的問題就是我們自己用的來源和實驗用的來源不一樣,保健品成分造假不純的問題很多,不過既然文獻都是使用Normast,自己也想再試一次,同時也找到從意大利代運的管道,東西也不貴,已經下單了,到時候有結果再分享。

魚油的話是還沒到驗證視野時,就因爲眼瞼產生過多油脂,引發眼瞼炎,還造成眼藥水過敏,記得眼壓也是沒降,後來使用類固醇眼藥,眼壓還增高一點,算是嚇到了,全部過程都在這裏
https://glaucoma2014.pixnet.net/blog/post/347574917

如果決明子有拉肚子,那也可以改成喝costco賣的蔓越莓汁,每日一杯馬克杯,我就是第一次喝這個2星期後,才發現眼睛對比度變高的。
https://www.costco.com.tw/Food/D ... L-X-2-Pack/p/596444
特别感动版主在深夜11点钟还回复我,谢谢您!
之前我只了解到前列素眼药水降眼压效果特别满意,但最近又开始了解到降眼压药物的副作用,比如前列素会导致虹膜色素沉积,眼睑皮肤变暗,甚至因为防腐剂以及药物本身导致的点状角膜炎等!由于大陆现在所有的降眼压药水都含有防腐剂,——且都超过角膜的毒性耐受度(以BAK防腐剂为例,耐受量为浓度0.005%,但是大部分眼药水防腐剂都在0.01%上)。对于还只是高眼压症的我,需不需要承担这些风险是个值得思考的问题。我阅读了您的大部分博客,以及那个怎么滴半滴眼药水的博客,用玻璃滴管那个清洁工作,您提到事先用自来水冲洗,因为我有看过有人经常用棉签蘸自来水最终导致阿米巴原虫感染角膜——一种起初难以发现的致盲性极高的角膜炎。我觉得可能用凉白开或者过滤水来清洗更好。
        由于药物或者防腐剂导致点状角膜炎是我格外担心的一件事情,因为我看到文献,点状角膜炎在使用眼药水的青光眼患者的患病率可能达到50%(多种眼药水和防腐剂加剧了这种情况)因此我特别希望找到一些辅助疗法降低眼压。您提到有氧运动可以起到不错的作用,但是据我所知,几乎所有的文献都提到有氧运动可以短时间内降低眼压(往往一小时以后就会恢复),但是却不能长期的降低眼压的基线。在标题为“a review on the roles of physical exercise on intraocular pressure control, ocular blood flow regulation, neuroprotection and glaucoma‐related mental health ”的荟萃分析中,历数了运动对眼压影响的几十个研究,都表明了有氧运动只有短期降眼压的效果,而长期不能。
        另外您提到你买了Normast,在我前面对PEA降低眼压的文献调研中,文献中提到的临床试验所使用的其实是Epitech Group生产的Visimast,后来我了解到这是micronized的PEA,而Normast是Epitech Group技术提高后生产的ultra-micronized的PEA,并且现在意大利的Amazon prime 会员销售的正是Normast,我个人估计,Normast既然是更小的微粒,应该降眼压效果更好。我个人在看这些临床试验具体数据之前,已经不小心购买了非微化的PEA半年的剂量,因为不愿意浪费,所以还是在服用(至少它有消炎的效果),所以非常期待您告诉我Normast的效果。
        另外我个人还有个小问题,我所在的学生办公室有个白板,当我盯着它看的时候,发现左眼看到白板的颜色色温冷一些,右眼暖一些。我很担心这和青光眼有关!我不确定好几年前是否我有这个现象,因为我以前从来不单眼看东西,现在自从高眼压症以来,因为医院的测试都是单眼单眼的测量,我才想起来是否用单眼看东西有区别,然后意外发现看着这种白色的物体的时候,的确感觉到色差,我不确定是否是先天性的色差,还是左眼散光100°右眼散光175°的原因,或者是高眼压症的原因,这让我很困惑!
另外一个我所担心的是前列素滴眼液虽然有一天滴一次,减少使用防腐剂次数,以及降低眼压效果最好的优点,但是另一方面,大量的文献表示前列素会导致中央角膜厚度下降。例如针对0.004%曲伏前列素的患者[1]在治疗12月后,CCT厚度为 546.71 ± 34.63 μm at baseline, 535.14 ± 34.78 μm after 6 months, and 532.38 ± 34.18 μm after 12 month.这可能会导致圆锥角膜,所以可能会增加散光度数。



[1] Central Corneal Thickness During Treatment With Travoprost 0.004% in Glaucoma Patients
感謝你提供自來水清洗的問題,用過濾水或開水清洗確實風險會小一點。
而防腐劑雖然不好,但也沒有想像中造成什麼傷害,我們都是每天點的人,幾乎沒有聽過身邊的人,因此有角膜炎或角膜受到傷害,50%的患病率我不曉得是怎麼回事,但肯定和真實的臨床狀況不一致,但點眼藥水造成乾眼的問題,應該也是防腐劑引起的,這方面反而很常見,也常常造成患者的不適,我們也只能多產魚油及使用人工淚液或凝膠了。

而長期有氧運動會降低基礎眼壓的研究就是這篇

https://jamanetwork.com/journals ... cle-abstract/639215

這也是青光眼科醫生鼓勵患者定期做有氧運動的原因。
雖然我第一次買的PEA來源成分不明,我爲肯定是有一點解除疼痛的效果,因爲服用期間,我過敏性疼痛的牙齒明顯比較不痛了,但眼壓沒降,不過也沒關係,這次買Normast再來試一次(後來在意大利的amazon也有找到Visimast,但明顯評價的人很少),如果不行就真的不知道原因了。

眼睛色溫的問題應該是正常的,雙眼感光本來就會有差異,不可能完全一樣,因爲我小時候玩輪流單眼看東西就有發現色感不一樣,雖然是個人經驗,但我相信其他人也有,只是很少人會注意到,這和青光眼沒有關係
发现还有一段话,没发出去,重新发一遍。我所担心的是前列素滴眼液虽然有一天滴一次,减少使用防腐剂次数,以及降低眼压效果最好的优点,但是另一方面,大量的文献表示前列素会导致中央角膜厚度下降。例如针对0.004%曲伏前列素的患者在治疗12月后,CCT厚度为 546.71 ± 34.63 μm at baseline, 535.14 ± 34.78 μm after 6 months, and 532.38 ± 34.18 μm after 12 month.这可能会导致圆锥角膜,所以可能会增加散光度数。此外由于眼药水会导致点状角膜炎,我看到德国的无防腐剂人工泪液品牌海露Hylo有一个产品叫Hylo-parin,可以修复角膜。其成分为肝素,但好像肝素是一种抗凝血迹,由于我已经吃了鱼油和银杏,我担心这会导致眼睛出血。另外最近这么关注高眼压,本来是因为查结膜炎顺便查出高眼压的。我从来没有得过过敏性结膜炎,但是自从春天到现在还没有变好,中途一度影响视力。我常用盐酸 奥洛他定——一种抗组胺和稳定肥大细胞药物,后来我了解到这种抗组胺药剂可能会略微增加眼压,我已经用了两个月,最近因为查到抗组胺增加眼压的效果,我准备停用奥洛他定,试一试Hylo-dual,不知道您是否听说过,这里面的Ectoine好像是治疗过敏结膜炎的?
          另外您说的那个运动降眼压的文献,在我之前提的运动对眼压的影响的荟萃分析的那篇论文也提到过!这是为数不多的,提到运动可以降低眼压基线的论文。它发表于1991年,但是,21世纪以来,提到运动可以降眼压基线的研究几乎绝迹,大家普遍赞成的一点是可以短时间内降低眼压
回復 18# glaucoma2014
发现还有一段话,没发出去,重新发一遍。我所担心的是前列素滴眼液虽然有一天滴一次,减少使用防腐剂次数,以及降低眼压效果最好的优点,但是另一方面,大量的文献表示前列素会导致中央角膜厚度下降。例如针对0.004%曲伏前列素的患者在治疗12月后,CCT厚度为 546.71 ± 34.63 μm at baseline, 535.14 ± 34.78 μm after 6 months, and 532.38 ± 34.18 μm after 12 month.这可能会导致圆锥角膜,所以可能会增加散光度数。此外由于眼药水会导致点状角膜炎,我看到德国的无防腐剂人工泪液品牌海露Hylo有一个产品叫Hylo-parin,可以修复角膜。其成分为肝素,但好像肝素是一种抗凝血迹,由于我已经吃了鱼油和银杏,我担心这会导致眼睛出血。另外最近这么关注高眼压,本来是因为查结膜炎顺便查出高眼压的。我从来没有得过过敏性结膜炎,但是自从春天到现在还没有变好,中途一度影响视力。我常用盐酸 奥洛他定——一种抗组胺和稳定肥大细胞药物,后来我了解到这种抗组胺药剂可能会略微增加眼压,我已经用了两个月,最近因为查到抗组胺增加眼压的效果,我准备停用奥洛他定,试一试Hylo-dual,不知道您是否听说过,这里面的Ectoine好像是治疗过敏结膜炎的?
          另外您说的那个运动降眼压的文献,在我之前提的运动对眼压的影响的荟萃分析的那篇论文也提到过!这是为数不多的,提到运动可以降低眼压基线的论文。它发表于1991年,但是,21世纪以来,提到运动可以降眼压基线的研究几乎绝迹,大家普遍赞成的一点是可以短时间内降低眼压
返回列表
高級模式 | 發新話題
B Color Image Link Quote Code Smilies